
Pagamento Pensione Marzo 2026 con Rivalutazione 1,4%: Accredito e Ritiro alle Poste, Tutte le Date
Il pagamento della pensione Marzo 2026 è uno dei più attesi dell’anno, infatti comprende la rivalutazione dell’1,4% sugli importi INPS. Con l’inizio del nuovo…
Read MoreLatest Articles

Visibile Cedolino Pensioni Marzo 2026: Importi Sbagliati e Nessun Aumento? Spiegazione INPS
Febbraio 25, 2026
View Article
Calendario dei Pagamenti dell’Assegno Unico 2026: Circolare Inps – Ecco le Nuove date
Febbraio 25, 2026
View Article
Calendario Pagamento Noipa di Febbraio 2026: Arretrati e Aumenti per Docenti e ATA
Febbraio 25, 2026
View Article
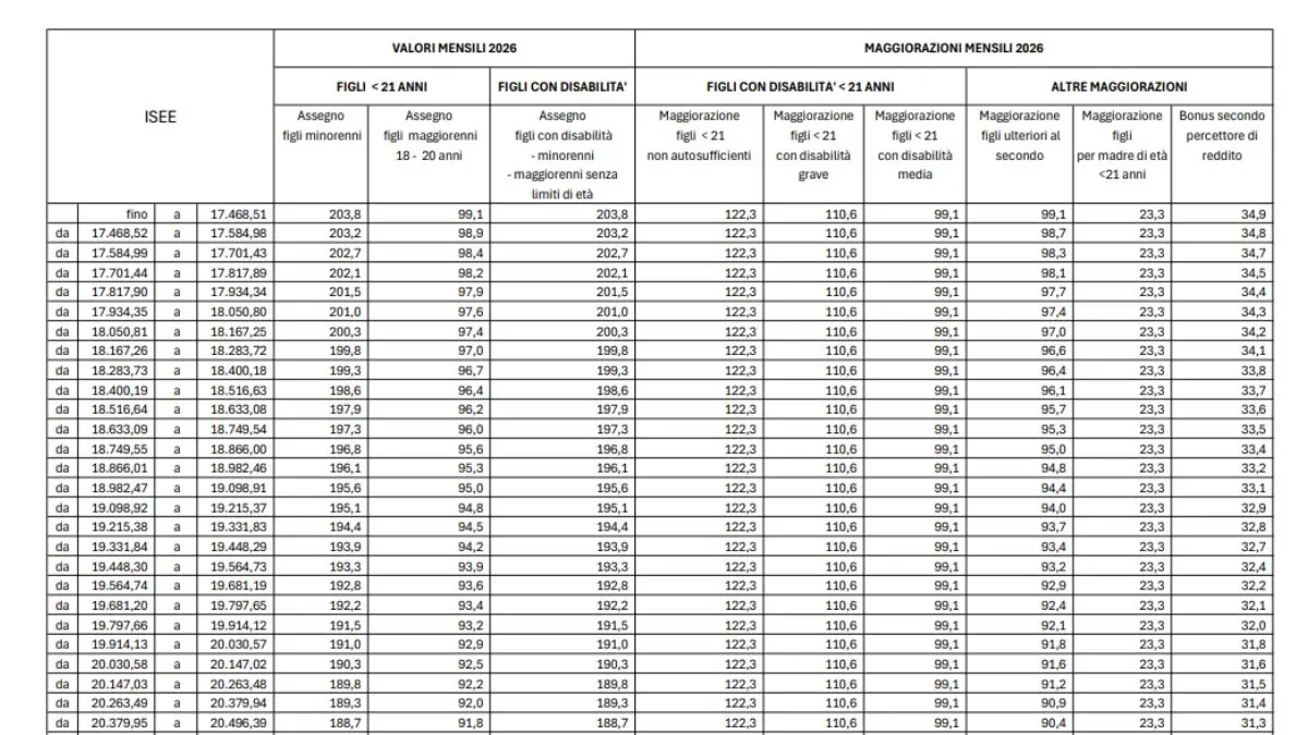
Tabella Assegno Unico 2026 PDF: Tutti Nuovi Importi e Nuove Maggiorazioni – Circolare Inps
Febbraio 25, 2026
View Article
Pagamento Assegno di Inclusione Febbraio 2026: Ecco il calendario INPS con 3 date
Febbraio 25, 2026
View Article
Tutti i Pagamenti INPS Febbraio 2026: Nuove Date, Assegno Unico, ADI, Naspi e Carta Acquisti 80 euro
Febbraio 25, 2026
View Article





